
Figure 4
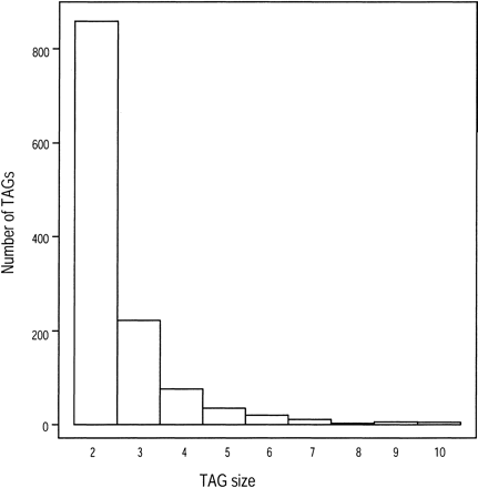
The distribution of the number of genes in a TAG for the data set with E-value 10-30 and no spacer.
(Downloading may take up to 30 seconds. If the slide opens in your browser, select File -> Save As to save it.)
Click on image to view larger version.

The distribution of the number of genes in a TAG for the data set with E-value 10-30 and no spacer.