Investigations Into the Analysis and Modeling of the TNFα-Mediated NF-κB-Signaling Pathway

(Downloading may take up to 30 seconds. If the slide opens in your browser, select File -> Save As to save it.)

Click on image to view larger version.

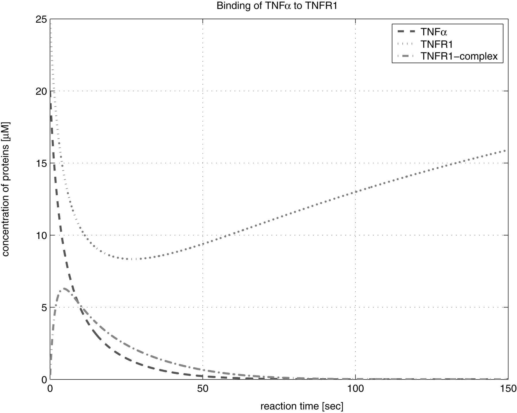
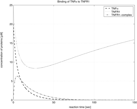
Figure 7
Figure 7

Binding of TNFα to TNFR1.

This Article

  1. Genome Res. 13: 2413-2422

Preprint Server