
Figure 2.
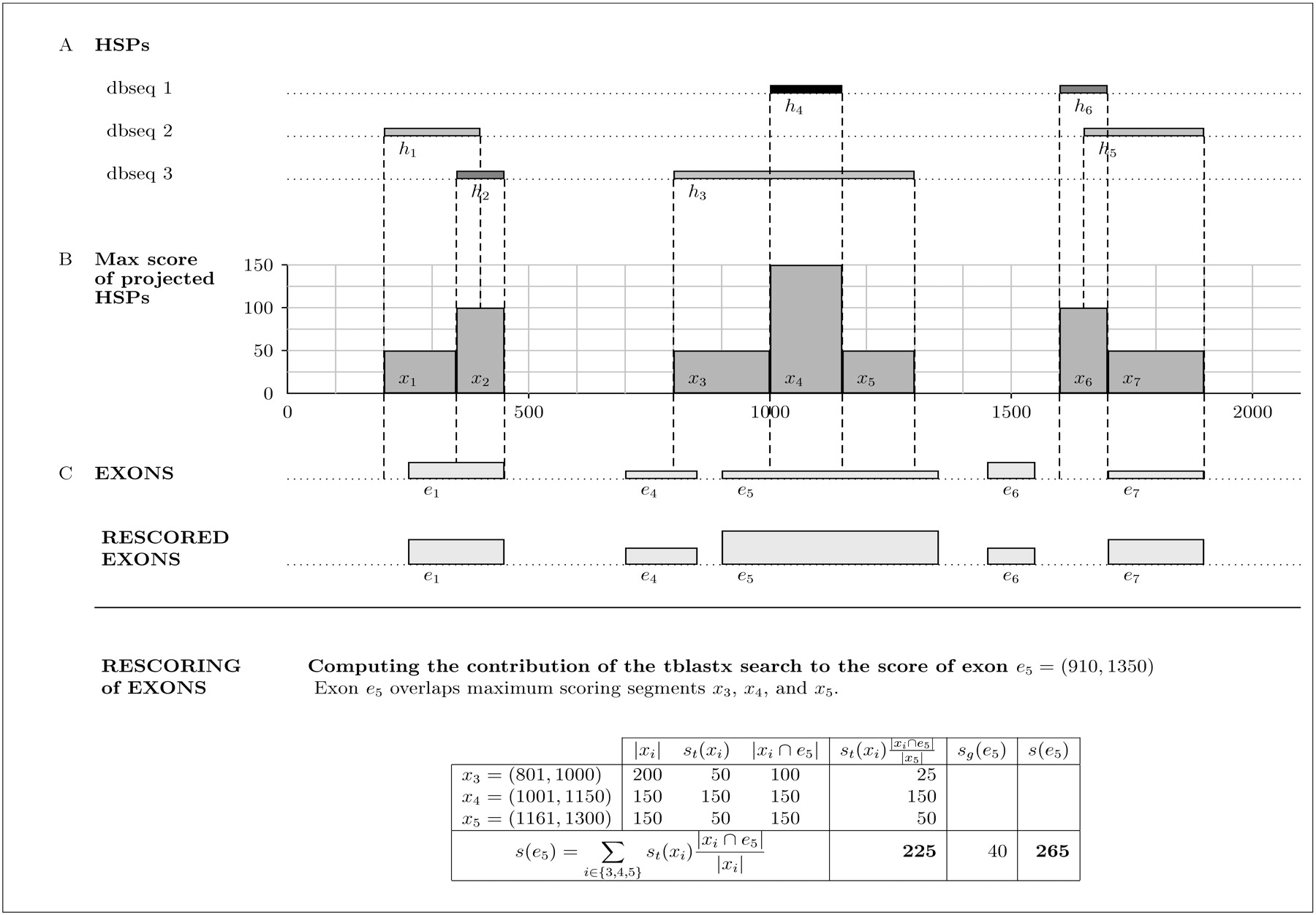
Rescoring of the exons predicted by GENEID according to the results of a TBLASTX search. See the “SGP2” section for a detailed explanation of the figure.
(Downloading may take up to 30 seconds. If the slide opens in your browser, select File -> Save As to save it.)
Click on image to view larger version.

Rescoring of the exons predicted by GENEID according to the results of a TBLASTX search. See the “SGP2” section for a detailed explanation of the figure.