

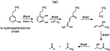
Figure 1.
(a) Phenylpropionate catabolic pathway, mhpABCDE catalyzes successive reactions. (b) (Subsets of genes in the mhp operon involved in different pathways left) and the actual reaction chains in the pathways catalyzed by these genes (right). This figure gives an example where computing transitive closure of smaller operons on the chromosome gives a larger operon. All genes run in the same direction.











