

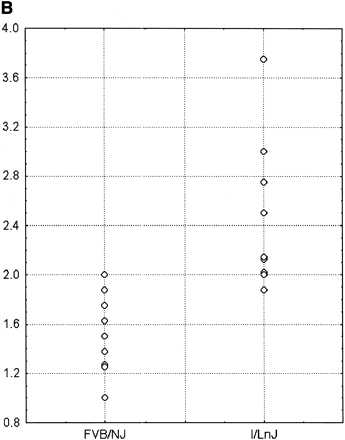
(A) Cdc25A promoter polymorphisms. The site of single base pair polymorphisms between FVB/NJ and I/LnJ are boxed. Bases deleted in the I/LnJ promoter are shaded in gray. The ATG translational start site of Cdc25A is underlined in bold. (B) In vitro Cdc25A promoter expression assay. The I/LnJ and FVB/NJCdc25A promoters were cloned into a luciferase reporter plasmid, transfected into NIH-3T3 cells and the promoter efficiency measured. The data is presented as relative expression compared with the internal cotransfection marker.











