
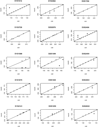
Plots of the Center for Inherited Disease Research (CIDR) alleles versus the Mammalian Genotyping Service (MGS) alleles, for the first 15 non-one-to-one markers. Here we assume that within each genotype, the smaller MGS allele should pair with the smaller CIDR allele. The diagonal line is the linear regression line, and off-diagonal points are shaded if they had large residuals (as defined in the text).











