
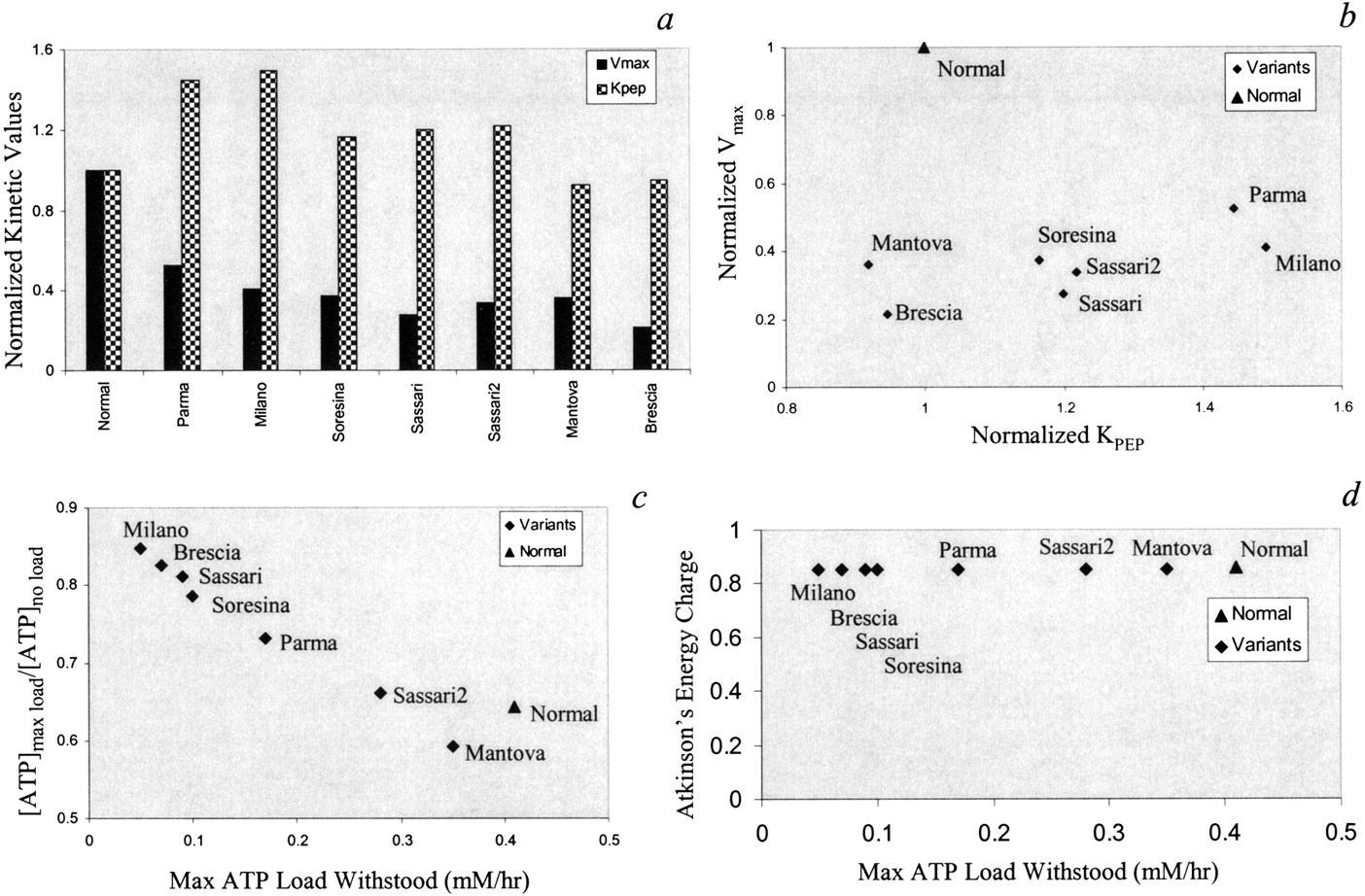
The ability of pyruvate kinase (PK) variants to respond to energy load. (a) The numerical values for Vmax and KPEPfor the documented PK cases. (b) There is no obvious correlation between the two kinetic parameters amongst the variants studied. (c) As the maximum tolerated ATP load decreases, the ratio of the cells [ATP] at maximum load versus at no load increases resulting in a near linear relationship. (d) The energy charge remains near constant despite the significant drop in the each variant's ability to withstand an ATP load.











