

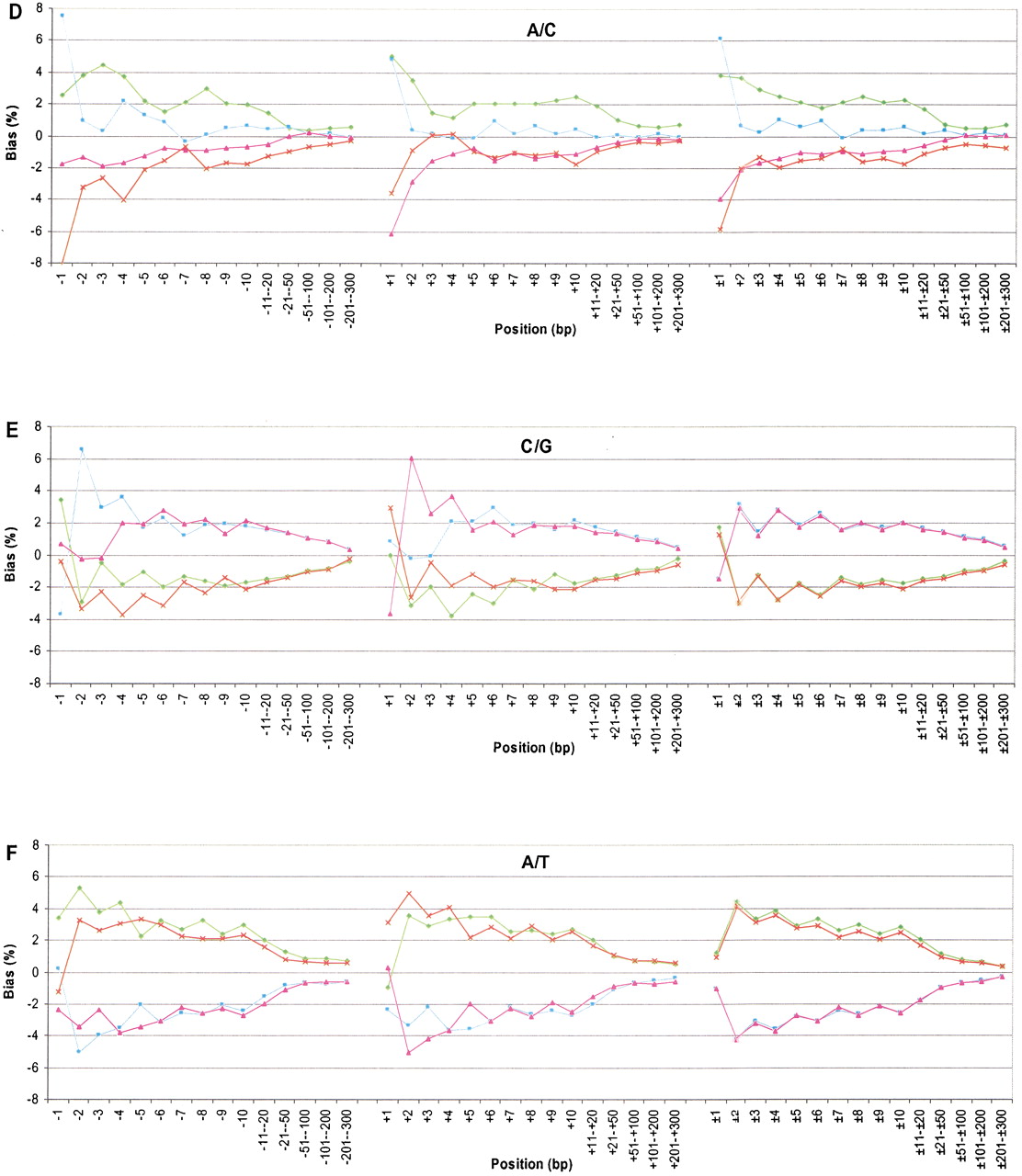
Figure 2.
Neighboring-nucleotide effects on the six categories of substitution. The nucleotide bias is normalized to the average genome values. A minus sign indicates the 5′ side, a positive sign is the 3′ side, and a ± sign is two-sided. The nucleotides are labeled green (A), blue (C), pink (G), and red (T).











