


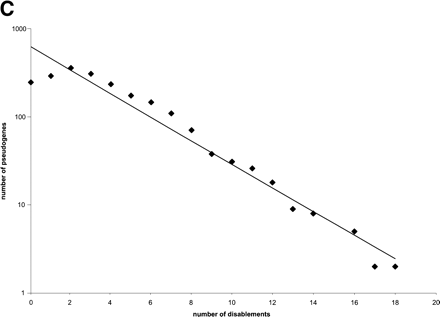
RP processed pseudogenes statistics. (A) Distribution of relative sequence length among processed pseudogenes. Relative sequence length is the ratio between the length of translated pseudogene and the length of the corresponding functional ribosomal protein. (B) Distribution of the DNA sequence identity between processed pseudogenes and the cDNA sequence of functional RP proteins. (C) Distribution of number of disablements among processed pseudogenes.











