
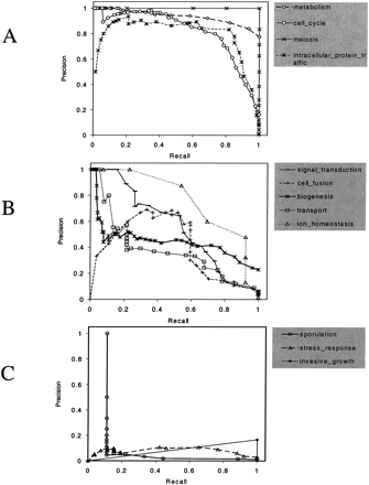
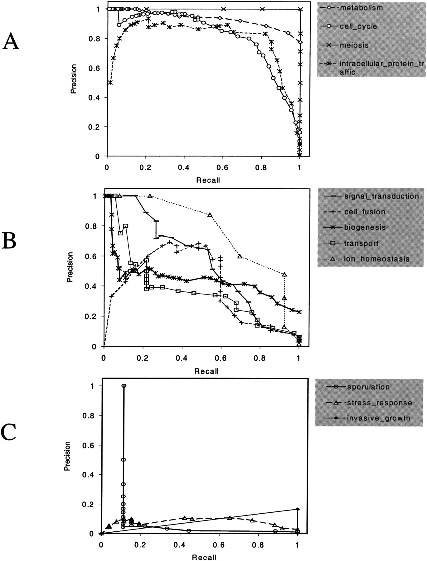
Predicting gene annotation from curated articles. Plot of precision versus recall for gene predictions from curated articles within the Saccharomyces Genome Database. Predictions were attempted on all genes with three or more associated articles; correctness of the prediction was verified with annotations from the Gene Ontology constortium. (A) Plot for categories for which predictions are reliable. (B) Plot for categories for which predictions are less accurate but still informative. (C) Plot for categories for which predictions are poor. The quality of the predictions appear to correlate with the quality of the training set.











