
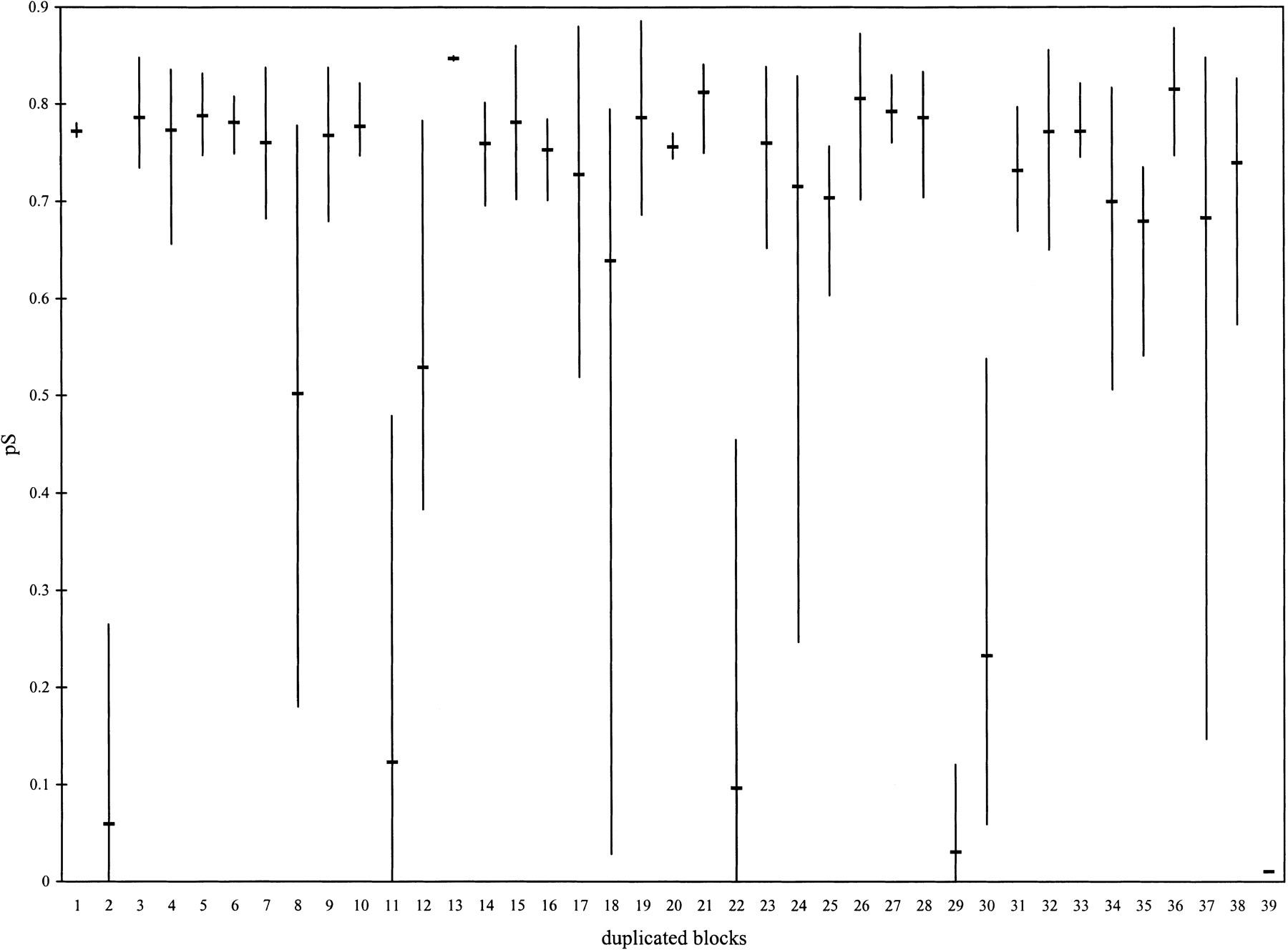
Figure 3.
Mean proportion synonymous difference per synonymous site (p S), with range indicated by vertical bars, for 208 duplicated gene pairs in 39 duplicated blocks in the yeast genome. Gene pairs with mean codon adaptation index (CAI) >0.50 were excluded.











