
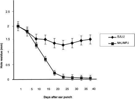
Figure 1.
Rates of healing of 2-mm ear hole in MRL (fast healer) and SJL (slow healer) progenitor mice at different timepoints (days 1–40). TheY-axis shows the hole residue in millimeters (mm), and theX-axis shows the number of days after the ear punch.











