
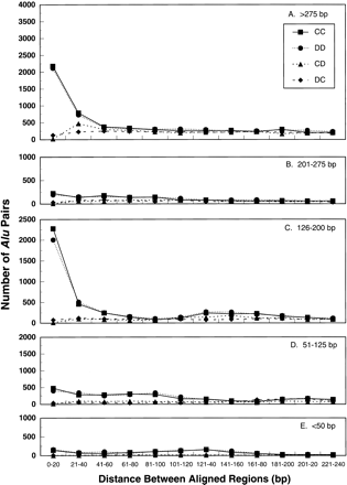
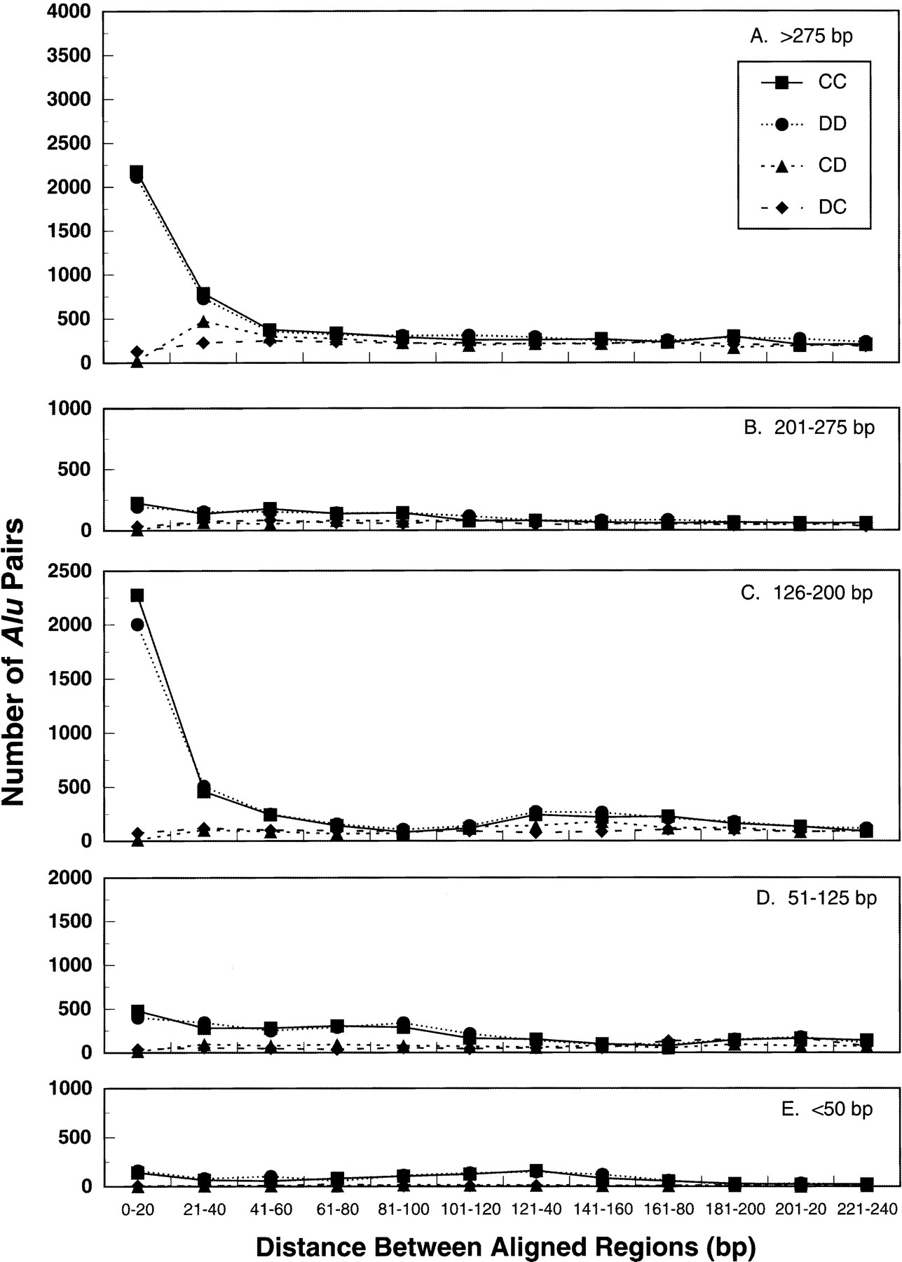
Figure 6.
The distance between homologous regions for Alu pairs of different alignment lengths. The adjacent Alus were analyzed as described in Figure 3B, where the separation distance “b + c” (see Fig. 1) and the pairs were grouped info five alignment length ranges (bp): (A) >275; (B) 201–275; (C) 126–200; (D) 51–125; (E) <50.











