
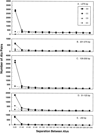
Figure 5.
Distance between adjacent Alu sequences for Alu pairs having different alignment lengths. The adjacent Alus were analyzed as described in Figure 3A, and the pairs were grouped into five alignment length ranges (bp): (A) >275 ; (B) 201–275; (C) 126–200; (D) 51–125; (E) <50.











