
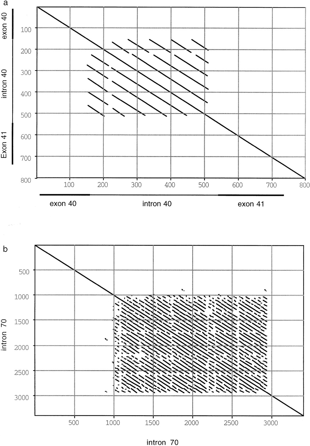
Analysis of putative VNTRs in HERC2 intron 40 (a) and intron 70 (b). (a) Eight hundred base pairs of sequence (PAC 778A2, 112001–112800) is aligned against itself. Position 11–157 corresponds to exon 40, and 541–737 corresponds to exon 41. (b) The first 3400 bp of sequence from contig 27 (BAC 263O22) is aligned against itself. The parameters used for both analyses were a window of 30 nucleotides containing no less than 65% identity.











