
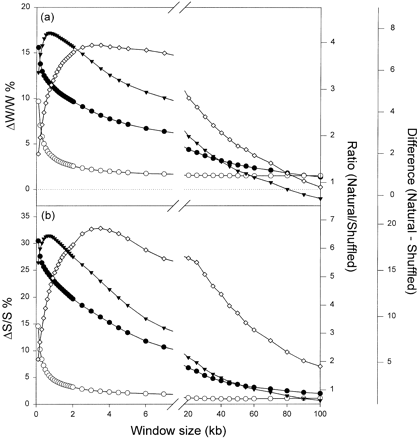
Variation of average Chargaff difference values with size of windows inM. jannaschii. Windows of varying size were moved along the first 276.5 kb of the genome in steps of 100 nucleotides, and base compositions were determined in each window. Average absolute Chargaff differences (%) for each window size are plotted either as ● (natural sequence), or ○ (shuffled sequence). (▴) The difference between these values (the average Chargaff difference for the natural sequence less the average Chargaff difference for the shuffled sequence). (⋄) The ratio of these values. The total number of windows of a given size used to calculate average Chargaff differences varied with sequence length. Thus, in a 100-kb sequence there would be 999 windows of 0.2 kb and one window of 100 kb.











