
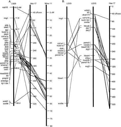
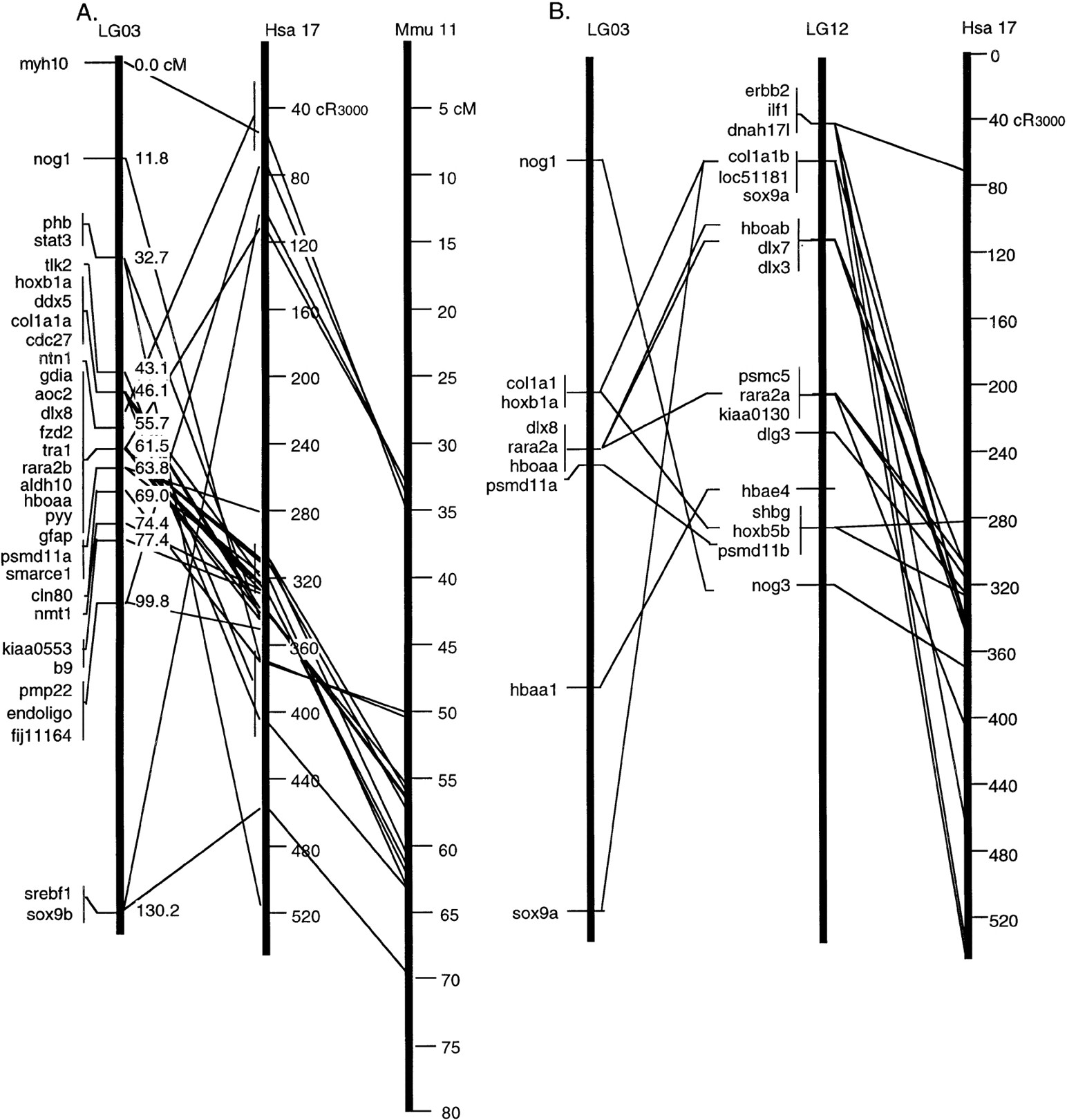
Zebrafish chromosome segments orthologous to Hsa17. (A) LG3 has many loci orthologous to mammalian genes distributed along Hsa17 and mouse chromosome Mmu11. Despite the large block of conserved synteny, multiple intrachromosomal rearrangements have altered gene orders in fish and mammalian chromosomes. (B) LG12 also contains many loci orthologous to Hsa17 genes, and many of these have duplicate copies on LG3. Accession nos. are listed in Supplementary Data at http://www.genome.org. See Woods et al. (2000) for a complete map for markers in this and following figures.











