
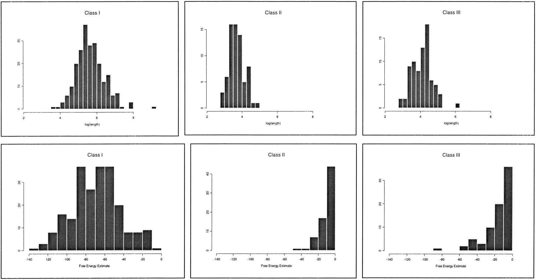
Figure 1.
(Top) 5′ UTR length distributions. (Bottom) Free energy distributions (ΔG in kcal/mole).
(Downloading may take up to 30 seconds. If the slide opens in your browser, select File -> Save As to save it.)
Click on image to view larger version.