
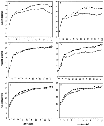
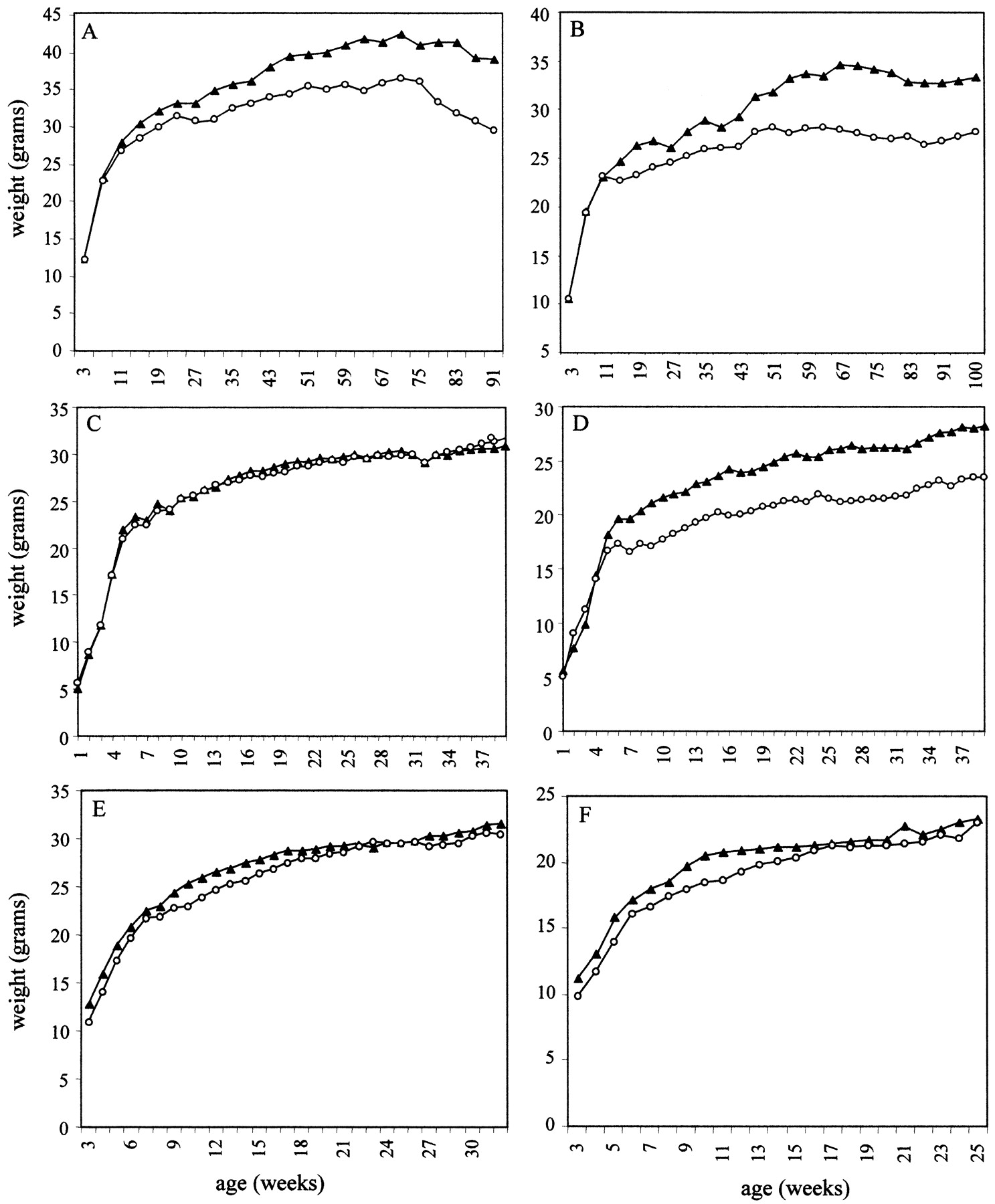
Figure 3.
Total body weight of male (A,C,E) and female (B,D,F) mice in different genetic backgrounds: (A,B) RI; (C,D)W9.5; and C57 (E,F) C57. At least four animals were used for each time point. Age of the animals was determined from birth. (▴) +/+ animals; (○) −/− animals.











